cover
Contact Name
Arief Gunawan
Contact Email
ifrj.puslitbangkan@gmail.com
Phone
-
Journal Mail Official
ifrj.puslitbangkan@gmail.com
Editorial Address
-
Location
Kota adm. jakarta pusat,
Dki jakarta
INDONESIA
Indonesian Fisheries Research Journal
ISSN : 08538980     EISSN : 25026569     DOI : -
Indonesian Fisheries Research Journal published in Indonesia by Center for Fisheries Research. Indonesian Fisheries Research Journal publishes research results on resources, fisheries biology, management, environment related to marine, coastal and inland waters.
Arjuna Subject : -
Articles 303 Documents
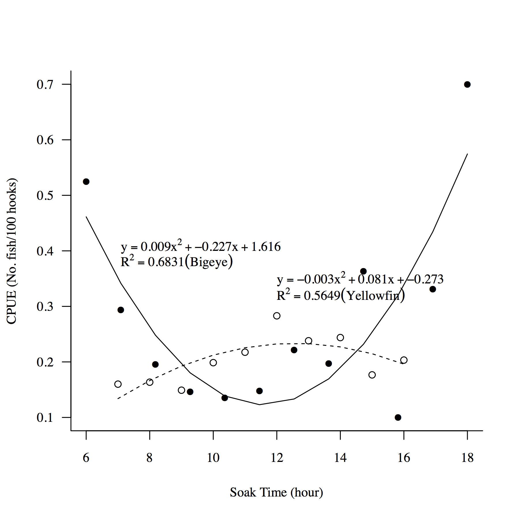
THE EFFECT OF DEPTH OF HOOKS, SET AND SOAK TIME TO THE CATCH PER UNIT OF EFFORT OF TUNA IN THE EASTERN INDIAN OCEAN Bram Setyadji; Budi Nugraha; Lilis Sadiyah
Indonesian Fisheries Research Journal Vol 22, No 2 (2016): (December, 2016)
Publisher : Research Center for Fisheries

Show Abstract | Download Original | Original Source | Check in Google Scholar | Full PDF (770.653 KB) | DOI: 10.15578/ifrj.22.2.2016.61-68

Abstract

Yellowfin (Thunnus albacares) and bigeye (T. obesus) tuna have been intensively exploited by longline fleets since 1980’s, however, a large proportion of zero catch per set of target species still accurred. Zero catch data contributed significantly to the low catch per unit of effort (CPUE) compared to other countries at the same fishing area. Therefore, understanding the factors contributed to the CPUE of tuna is essential, in order to improve longline fishing efficiency. A total of 2.115 set-by-set data were obtained from Indonesian Scientific Observer Program. The onboard observations were carried out at commercial tuna longline operated in Eastern Indian Ocean from August 2005 to December 2014. Several analytical approaches were conducted in this paper. First, General Linear Model (GLM) was applied in order to model the relationship between CPUE with all the variables involved. Second, boxplot diagram, polynomial and linear regression were applied to fit the relationship between CPUE with set time, soak time and depth (represented by hook position) respectively. The result showed that, there was no significant relationship between set time and CPUE of bigeye and yellowfin tuna. Soak time was positively related with CPUE of yellowfin and affect adversely on bigeye. Depth also have significant relationship with CPUE of tuna, where catch of yellowfin decreased linearly with hook depth, whereas catch of bigeye was performed the opposite. Improvement in tuna longline fishery in eastern Indian Ocean can be achieved through implementation of the specific soak time and hook depth for each target species, i.e. yellowfin and bigeye tuna.
POSSIBLE USE OF LENGTH-BASED SPAWNING POTENTIAL RATIO FOR SKIPJACK (Katsuwonus pelamis) IN INDONESIA’S ARCHIPELAGIC WATERS Fayakun Satria; Lilis Sadiyah
Indonesian Fisheries Research Journal Vol 23, No 1 (2017): (June, 2017)
Publisher : Research Center for Fisheries

Show Abstract | Download Original | Original Source | Check in Google Scholar | Full PDF (780.349 KB) | DOI: 10.15578/ifrj.23.1.2017.45-53

Abstract

A harvest strategy development for skipjack tuna (Katsuwonus pelamis - SKJ) fishery within Indonesia’s archipelagic waters (Indonesian Fisheries Management Areas - FMAs 713-715) has been initiated, which is mandated within its National Tuna, Skipjack and Neritic Tuna Management Plan. Information on the stock status or indicator is needed, since it is one essential component of a harvest strategy. In fact, the lack of catch and effort data from Indonesian fishery, in general, is still an international concern. A method to assess the stock status for data poor fisheries namely Length-based Spawning Potential Ratio (LB-SPR) was developed. This study attempted to investigate a possible use of the LB-SPR to estimate spawning potential ratios of SKJ using length data from Indonesian pole and line fishery collected by the port-based sampling program (a collaborative project between Indonesia and the Western and Central Pacific Fisheries Commission (WCPFC). There is a decreasing trend in the estimated SPR from 2010 to 2015 unless 2014, indicating that impact of fishing on the resources increased over the study period. If the SPR20% is adopted as limit SPR, then the estimated values of SPR less than SPR20% suggested that recruitment overfishing might be occurring. In fact, the results should be considered as preliminary results, as the size data of SKJ from pole and line might not be capturing large SKJ or the nature of SKJ in Archipealgic waters has smaller size in general compare to other region that potentially hampered the asymptotic selectivity assumption within the LB-SPR model underestimating the SPR. Further work is required to gather complete representative of length data of SKJ covering all length classes of the fishery.
ISOLATION AND ENZYMATIC FRAGMENTATION OF GENOMIC DNA FROM UNCULTURED MICROBIAL SYMBIONTS OF Theonella sp. SPONGE AS PREREQUISITE FOR METAGENOMIC LIBRARY CONSTRUCTION Agustinus Robert Uria; lfah Munifah; Ekowati Chasanah
Indonesian Fisheries Research Journal Vol 13, No 2 (2007): (December 2007)
Publisher : Research Center for Fisheries

Show Abstract | Download Original | Original Source | Check in Google Scholar | Full PDF (5459.347 KB) | DOI: 10.15578/ifrj.13.2.2007.125-130

Abstract

Microbial symbionts of sponges are well known as the sources of numerous bioactive products which are of potential industrial and pharmaceutical importance, including secondary metabolites, enzymes, lipids and heteropolysaccharides.
INTER-SPECIFIC COMPETITION AND FISHING EFFECT TO POPULATION DYNAMIC OF BALI SARDINE (SARDINELLA LEMURU) Andhika Prima Prasetyo; Rudy Masuswo Purwoko
Indonesian Fisheries Research Journal Vol 22, No 2 (2016): (December, 2016)
Publisher : Research Center for Fisheries

Show Abstract | Download Original | Original Source | Check in Google Scholar | Full PDF (240.933 KB) | DOI: 10.15578/ifrj.22.2.2016.85-90

Abstract

Stock-recruitment relationship of Bali sardine was investigated based on Beverton-Holt model by assuming inter-specific competition. Model is modified to incorporate the effect of fishing pressure that is density-independent to population dynamic by developing scenario fishing on adult and/or juvenile population. The results show that harvested adult the dramatic decline of recruitment supply. However, harvested juvenile is led to the positive response to population size, as an increase in fishing mortality rate will reduce competition mortality rate. Precautionary approach required by considering bipartite life cycle. 
BIOLOGY AND POPULATION DYNAMICS OF BANANA SHRIMP (Penaeus merguiensis) IN THE TARAKAN WATERS, EAST BORNEO Duranta D. Kembaren; Ali Suman
Indonesian Fisheries Research Journal Vol 19, No 2 (2013): (December 2013)
Publisher : Research Center for Fisheries

Show Abstract | Download Original | Original Source | Check in Google Scholar | Full PDF (2414.283 KB) | DOI: 10.15578/ifrj.19.2.2013.99-105

Abstract

Study of biology and population dynamic of banana shrimp (Penaeus merguiensis) in Tarakan waters, East Borneo was carried out from January to November 2012. The aim of this research was to identify the biological aspects and population dynamics of banana shrimp. For estimating dynamic population, data were analysed using FiSAT II. The result showed that length at first capture (Lc) of banana shrimp by mini trawl (pukat hela) was 35 mm and the size at first maturity (Lm) was 33,86 mm in carapace length. Spawning occured all year around and reached it’s peak in March. The growth coefficient (K) of banana shrimp was 1,45/year with carapace asymptotic length (CL”) of 80 mm. Total mortality rate (Z) and natural mortality rate (M) were 4,85/year and 1,76/year. While fishing mortality rate (F) and exploitation rate (E) were 3,09/year and 0,64, respectively. The exploitation rate of banana shrimp in Tarakan waters tended to be overexploited so that it needed to be managed wisely and carefully by reducing the fishing effort and fishing season especially on spawning season. The recruitment peak of banana shrimp occured in May.
REPRODUCTION OF THREE COLOUR VARIETIES OF ANGELFISH (Pterophyllum scalare) Darti Satyani
Indonesian Fisheries Research Journal Vol 5, No 1 (1999): (1999)
Publisher : Research Center for Fisheries

Show Abstract | Download Original | Original Source | Check in Google Scholar | Full PDF (3359.869 KB) | DOI: 10.15578/ifrj.5.1.1999.19-22

Abstract

A study into the reproductive performance of three color varieties of angelfish , Pterophyllum scolore (Black, Black & White, and Marble) was conducted in a farmer's hatchery at Depok, West Java
FIRST SEXUAL MATURATION AND BREEDING CYCLE oF pangasius Hypophthalmus (SILURIFORMES, PANGASIDAE) REARED IN POND Anang Hari Kristanto; Jacques Slembrouck; Marc Legendre
Indonesian Fisheries Research Journal Vol 11, No 2 (2005): (December 2005)
Publisher : Research Center for Fisheries

Show Abstract | Download Original | Original Source | Check in Google Scholar | Full PDF (2135.701 KB) | DOI: 10.15578/ifrj.11.2.2005.53-57

Abstract

The age and weight at first sexual maturation and the seasonal variatrons of sexual maturity of pangasius hypohthalmus were determined on a fish group spawned in April 1997 and followed up until 32 months of  age at the sukamandi RIFF station, west Java Indonesia.
FISHERY RESOURCES AND ECOLOGY OF TOBA LAKE Wijopriono Wijopriono; Kunto Purnomo; Endi Setiadi Kartamihardja; Zulkarnaen Fahmi
Indonesian Fisheries Research Journal Vol 16, No 1 (2010): (June 2010)
Publisher : Research Center for Fisheries

Show Abstract | Download Original | Original Source | Check in Google Scholar | Full PDF (5621.392 KB) | DOI: 10.15578/ifrj.16.1.2010.7-14

Abstract

Investigatiorr of stock and distribution of fishery resources was done in Toba Lake in October 2005, at the time when the wet season prevailed, using acoustic method. Split-beam echosounder SIMRAD Ey-60 operated at frequency ol iZO KHz and 0.512 ms pulse duration was used.
EFFECT OF LIME AND CELLULOSE TREATMENT ON DEACIDIFICATION OF ACID-SULPHATE SOILS DURING INUNDATION UNDER LABORATORY CONDITIONS Abdul Karim Gaffar
Indonesian Fisheries Research Journal Vol 1, No 1 (1995): (1995)
Publisher : Research Center for Fisheries

Show Abstract | Download Original | Original Source | Check in Google Scholar | Full PDF (4097.508 KB) | DOI: 10.15578/ifrj.1.1.1995.58-67

Abstract

An experiment was conducted to assess the effects of lime and cellulose additions ondeacidification of submerged ecid sulphate soil in laboratory condition for 6 weeksduration.
CURRENT STATUS OF THE POLE-AND-LINE FISHERY IN EASTERN PART OF INDONESIA Agustinus Anung Widodo; Wudianto Wudianto; Fayakun Satria
Indonesian Fisheries Research Journal Vol 22, No 1 (2016): (June 2016)
Publisher : Research Center for Fisheries

Show Abstract | Download Original | Original Source | Check in Google Scholar | Full PDF (390.138 KB) | DOI: 10.15578/ifrj.22.1.2016.43-52

Abstract

The promotion of pole-and-line fishery for a selective gear operating in the Indonesian tuna management area is considered as the proper policy in response to the increasing market demand with tuna eco-labeled. Appropriate information in addressing the current status of the pole-and-line fishery in Indonesia is an important step in order to support the promotion. Data used to describe the fishery were obtained through scientific port sampling program in collaboration between RCFMC and WCPFC in 2010 to 2014 and also scientific observer onboard program collaboration RCFMC and CRAC Co. Ltd. in 2013. The results show that presently the number of pole and line fleets was decreased significantly and remain about 232 fleetsin Sorong, Bitung and Kendari and Larantuka. The national annual total catch of pole-and line during 1980 – 2013 was recorded between 24,000 and 160,000 tons per year (average 98,117 tons per year). This value is estimated to contribute about 20% of Indonesia annual total catch of tuna in FMAs713-717. The pole-andline catch rates based at Bitung, Kendari and Sorong were fluctuated in each year with the range respective between 8.79 and 17.93 tons/trip/vessel, 4.78 and 5.36 ton/trip/vessel and about 7,99 ton ton/trip/vessel. Pole-and-line fishery operated in Indonesian FMAs 713-717 is considered as selective fishery, with > 80 % catches of skipjack in matured stage. The tuna-live bait fish ratio in Indonesian pole-and-line was 4.41 :1, then an improvement of live bait ratio as well as its management is required.

Filter by Year

1995 2025


Filter By Issues
All Issue Vol 31, No 2 (2025): December (2025) Vol 31, No 1 (2025): June (2025) Vol 30, No 2 (2024): (Desember) 2024 Vol 30, No 1 (2024): (June) 2024 Vol 29, No 2 (2023): (December 2023) Vol 29, No 1 (2023): (June) 2023 Vol 28, No 2 (2022): (December 2022) Vol 28, No 1 (2022): (June) 2022 Vol 27, No 2 (2021): (December) 2021 Vol 27, No 1 (2021): (June) 2021 Vol 26, No 2 (2020): (December) 2020 Vol 26, No 1 (2020): (June) 2020 Vol 25, No 2 (2019): (December) 2019 Vol 25, No 1 (2019): (June) 2019 Vol 24, No 2 (2018): (December) 2018 Vol 24, No 1 (2018): (June) 2018 Vol 23, No 2 (2017): (December, 2017) Vol 23, No 1 (2017): (June, 2017) Vol 22, No 2 (2016): (December, 2016) Vol 22, No 1 (2016): (June 2016) Vol 21, No 2 (2015): (December 2015) Vol 21, No 1 (2015): (June 2015) Vol 20, No 2 (2014): (December 2014) Vol 20, No 1 (2014): (June 2014) Vol 19, No 2 (2013): (December 2013) Vol 19, No 1 (2013): (June 2013) Vol 18, No 2 (2012): (December 2012) Vol 18, No 1 (2012): (June 2012) Vol 17, No 2 (2011): (December, 2011) Vol 17, No 1 (2011): (June 2011) Vol 16, No 2 (2010): (December, 2010) Vol 16, No 1 (2010): (June 2010) Vol 15, No 2 (2009): (December 2009) Vol 15, No 1 (2009): (June 2009) Vol 14, No 2 (2008): (December 2008) Vol 14, No 1 (2008): (June 2008) Vol 13, No 2 (2007): (December 2007) Vol 13, No 1 (2007): (June 2007) Vol 12, No 2 (2006): (December 2006) Vol 12, No 1 (2006): (June 2006) Vol 11, No 2 (2005): (December 2005) Vol 11, No 1 (2005): (June 2005) Vol 8, No 1 (2002): (2002) Vol 7, No 1 (2001): (2001) Vol 5, No 1 (1999): (1999) Vol 4, No 2 (1998): (1998) Vol 4, No 1 (1998): (1998) Vol 3, No 1 (1997): (1997) Vol 2, No 1 (1996): (1996) Vol 1, No 1 (1995): (1995) More Issue