cover
Contact Name
-
Contact Email
-
Phone
-
Journal Mail Official
-
Editorial Address
-
Location
Kab. sleman,
Daerah istimewa yogyakarta
INDONESIA
Indonesian Journal of Biotechnology
ISSN : 08538654     EISSN : 20892241     DOI : -
Core Subject : Science,
The Indonesian Journal of Biotechnology (IJBiotech) is an open access, peer-reviewed, multidisciplinary journal dedicated to the publication of novel research in all aspects of biotechnology, with particular attention paid to the exploration and development of natural products derived from tropical—and especially Indonesian—biodiversity. IJBiotech is published biannually and accepts original research articles featuring well-designed studies with clearly analyzed and logically interpreted results. A strong preference is given to research that has the potential to make significant contributions to both the field of biotechnology and society in general.
Arjuna Subject : -
Articles 523 Documents
Spatial learning and memory of young and aging rats following injection with human Wharton’s jelly‐mesenchymal stem cells Berry Juliandi; Wildan Mubarok; Dian Anggraini; Arief Boediono; Mawar Subangkit; Indra Bachtiar; Harry Murti; Kelvin Yaprianto; Boenjamin Setiawan
Indonesian Journal of Biotechnology Vol 26, No 2 (2021)
Publisher : Universitas Gadjah Mada

Show Abstract | Download Original | Original Source | Check in Google Scholar | DOI: 10.22146/ijbiotech.64734

Abstract

Human Wharton’s jelly‐mesenchymal stem cells (hWJ‐MSC) are an emerging potential source of stem cells derived from the umbilical cord. Previous studies have shown their potential as treatment for traumatic brain injury and Parkinson’s disease. However, no study has yet investigated the effect of hWJ‐MSC injections in countering spatial learning and memory impairment in aging rats. The effect of hWJ‐MSC injection on young rats is also unknown. The objective of this research was to analyze the effect of an hWJ‐MSC injection on spatial learning, memory, density of putative neural progenitor cells (pNPC), and neuronal apoptosis in the dentate gyrus (DG) of young and aging rats. Injection of hWJ‐MSC did not change spatial learning and memory in young rats until two months post‐injection. This might be due to retained pNPC density and neuronal apoptosis in the DG of young rats after injection of hWJ‐MSC. In contrast, injection of hWJ‐MSC promoted both spatial learning and memory in aging rats, a finding that might be attributable to the increased pNPC density and attenuated neuronal apoptosis in DG of aging rats during the two months post‐injection. Our study suggests that a single injection of hWJ‐MSC might be sufficient to promote improvement in long‐term learning and memory in aging rats.
A recombinant DNA‐satellite associated with Pepper yellow leaf curl Indonesia virus in highland area Argawi Kandito; Sedyo Hartono; Sri Sulandari; Susamto Somowiyarjo
Indonesian Journal of Biotechnology Vol 26, No 2 (2021)
Publisher : Universitas Gadjah Mada

Show Abstract | Download Original | Original Source | Check in Google Scholar | DOI: 10.22146/ijbiotech.64817

Abstract

Yellow curl disease caused by begomovirus is a major threat for horticulture in Indonesia. Control mea‐ sures for the disease face several constraints, one of which is the association between begomovirus and DNA satellites which can affect the severity of symptoms. In this study, we detected the presence of a DNA satellite associated with begomovirus in a highland area. The sample was obtained from Ketep, Magelang, located approximately 1400 meters above sea level. Begomovirus was detected using primers PAL1V1978/PAR1C715 that resulted in an amplicon of ap‐ proximately 1600bp. The presence of this satellite was detected using primers CLB36F/CLB37R, resulting in full‐length satellite genome of approximately 1300bp. Sequence analysis showed the sample was infected by Pepper yellow leaf curl Indonesia virus (PepYLCIV) and a non‐coding satellite which resembled some characteristics of common betasatellites with imperfect putative ORF βC1. SimPlot analysis revealed the recombination event between betasatellites and DNA‐B of PepYLCIV. The satellite found in this study is thought to be the result of recombination due to multiple infections in plants.
Distinguishing resistances of transgenic sugarcane generated from RNA interference and pathogen‐derived resistance approaches to combating sugarcane mosaic virus Weny Nailul Hidayati; Retnosari Apriasti; Hardian Susilo Addy; Bambang Sugiharto
Indonesian Journal of Biotechnology Vol 26, No 2 (2021)
Publisher : Universitas Gadjah Mada

Show Abstract | Download Original | Original Source | Check in Google Scholar | DOI: 10.22146/ijbiotech.65256

Abstract

Sugarcane mosaic virus (SCMV) is a causative agent that reduces growth and productivity in sugarcane. Pathogen‐derived resistance (PDR) and RNA interference (RNAi) are the most common approaches to generating resis‐ tance against plant viruses. Two types of transgenic sugarcane have been obtained by PDR and RNAi methods using a gene‐encoding coat protein (CP) of SCMV (SCMVCp). This research aimed to distinguish resistance of the two transgenic sugarcanes in combating SCMV through artificial viral inoculation. The experiment was conducted using transgenic sugar‐ cane lines validated by PCR analysis. Insertion of gene‐encoding CP in the transgenic lines was confirmed by amplification of 702 bp of DNA fragment of SCMVCp. After viral inoculation, mosaic symptoms appeared earlier, at 21 days post inoculation (dpi) in PDR transgenic lines, but was at 26 dpi in RNAi transgenic lines. Symptom observation showed that 77.8% and 50% of the inoculated plants developed mosaic symptoms in PDR and RNAi transgenic lines, respectively. RT‐PCR analysis revealed that the nuclear inclusion protein b (Nib) gene of SCMV was amplified in the symptomatic leaves in plants classified as susceptible lines. Immunoblot analysis confirmed presence of viral CP with a molecular size of 37 kDa in the susceptible lines. Collectively, these results indicated that the RNAi approach targeting the gene for CP effectively produces more resistance against the SCMV infection in transgenic sugarcane compared to the PDR approach.
Comparative lactic acid bacteria (LAB) profiles during dadih fermentation with spontaneous and back-slopping methods, as identified by terminal-restriction fragment length polymorphism (T-RFLP) Chandra Utami Wirawati; Mirnawati Bachrum Sudarwanto; Denny Widaya Lukman; Ietje Wientarsih; Eko Agus Srihanto
Indonesian Journal of Biotechnology Vol 26, No 3 (2021)
Publisher : Universitas Gadjah Mada

Show Abstract | Download Original | Original Source | Check in Google Scholar | DOI: 10.22146/ijbiotech.61164

Abstract

The diversity of lactic acid bacteria (LAB) present during the manufacture of traditional fermented buffalo milk from West Sumatra, known as dadih, was studied via a culture-independent approach using terminal-restriction fragment length polymorphism (T-RFLP) to compare the dynamic diversity in back-slopping and spontaneous fermentation methods. Total LAB and pH were measured in freshly prepared buffalo milk and in \textit{dadih} fermented for 24 and 48 hours. The results indicated significant differences between the fermentation methods, with higher total LAB, and greater phylotype richness and relative abundance being identified in the back-slopping method. Terminal fragment lengths (TRFs) of 68 and 310 bp were common to both techniques, similar to those of Lactobacillus fermentum, Fructobacillus pseudoficulneus, Leuconostoc citreum, Leuconostoc kimchii, and Leuconostoc sp. The changes in phylotype number (species number) and relative abundances of LAB communities identified are expected to produce data needed to formulate the best fermentation process for dadih manufacturing. A 24-hour back-slopping fermentation method is recommended, as fermentation time of longer than 24 hours reduced viable LAB significantly. Our results also indicated that the T-RFLP technique is not only clearly sensitive enough and adequate for segregating LAB diversity in both fermentation methods, but that it also provides good information regarding the structure of microbial communities and their composition change during the fermentation process.
Biodesulfurization of the mixture of dibenzothiophene and its alkylated derivatives by Sphingomonas subarctica T7b Ida Bagus Wayan Gunam; Teruo Sone; Kozo Asano
Indonesian Journal of Biotechnology Vol 26, No 3 (2021)
Publisher : Universitas Gadjah Mada

Show Abstract | Download Original | Original Source | Check in Google Scholar | DOI: 10.22146/ijbiotech.62584

Abstract

Organosulfur compounds classified as dibenzothiophenes (DBTs) and their derivatives are contained in petroleum. When used as fuel, these substances release SOx emissions, thus contributing to air pollution, acid rain, and climate change. Therefore, it is necessary to reduce the content of these organic sulfur compounds in fuels and one way to achieve this is through bacterial desulfurization. This study reports the biodesulfurization process of a mixture of DBT, 4-hexyl DBT, 4,6-dibutyl DBT, and various organosulfur compounds in light gas oil (LGO). The experiment was conducted by treating 1 mL of aromatic organosulfur compounds with 100 mg/L in \textit{n}-tetradecane or 1 mL LGO with 5 mL mineral salts in sulfur-free medium, incubated at 27 °C for 5 days with shaking at 273 rpm. Gas chromatography analyses revealed that the growing Sphingomonas subarctica T7b cells desulfurized and converted 88.29% of DBT to 2-hydroxybiphenyl as a metabolite while a mixture of DBT and 4,6-dibutyl DBT was desulfurized at 86.40\% and 7.00%, respectively. Furthermore, the mixture of DBT, 4-hexyl DBT, and 4,6-dibutyl DBT had a desulfurization percentage of 84.40%, 41.00%, and 6.66%, respectively, after five days of incubation. The compounds were observed to desulfurize slightly better as single compounds compared to when mixed with other aromatic sulfur compounds.
Detection of species substitution in raw, cooked, and processed meats utilizing multiplex-PCR assay Muhammad Cahyadi; Nur Aini Dyah Fauzıah; Imam Tubagus Suwarto; Waraporn Boonsupthip
Indonesian Journal of Biotechnology Vol 26, No 3 (2021)
Publisher : Universitas Gadjah Mada

Show Abstract | Download Original | Original Source | Check in Google Scholar | DOI: 10.22146/ijbiotech.63472

Abstract

The rise of beef consumption in Indonesia opens an opportunity for “rogue” suppliers to mix beef with other meat species that are relatively cheaper, such as pork, chicken, etc. The aim of this study was to identify pig and chicken meat in raw, cooked, and processed meat products using multiplex-PCR of mitochondrial DNA Cytochrome b gene, which is maternally inherited and widely used for forensic studies. A total of 90 samples-33 raw meats, 33 cooked meats, and 24 meatballs-were used in this study. Each sample was extracted to obtain the DNA genome and this was then amplified using multiplex-PCR. The PCR products were visualized using 2% agarose gel electrophoresis. The results showed that species contained in raw, cooked, and processed meat samples could be identified as indicated by DNA bands at 398, 274, 227, and 157 bp for pig, cattle, chicken, and goat species respectively. This study concluded that species substitution in raw, cooked, and processed meats could be detected using the Cytochrome b gene as a genetic marker through multiplex-PCR assay.
Ethanolic extract of sappan wood (Caesalpinia sappan L.) inhibits MCF-7 and MCF-7/HER2 mammospheres' formation: an in vitro and bioinformatic study Dhania Novitasari; Laeli Muntafiah; Nur Fitra Sari; Edy Meiyanto; Adam Hermawan
Indonesian Journal of Biotechnology Vol 26, No 3 (2021)
Publisher : Universitas Gadjah Mada

Show Abstract | Download Original | Original Source | Check in Google Scholar | DOI: 10.22146/ijbiotech.63510

Abstract

One of the mechanisms of cancer cell resistance toward chemotherapy is through cancer stem cells (CSCs), which are characterized by excessive activation of regulator proteins such as human epidermal receptor 2 (HER2). Sappan wood (Caesalpinia sappan L.) contains brazilin and brazilein that exhibit cytotoxic effects on several cancer cell lines. We aimed to explore the potency of the ethanolic extract of sappan (EES) in CSCs through bioinformatic analyses and by using a three-dimensional (3D) breast cancer stem cells (BCSCs) for in vitro assay with two different models (i.e., BCSCs and HER2-BCSCs) in order to identify the potential therapeutic targets of genes (PTTGs). Bioinformatic analyses identified PTTGs, which were further analyzed by gene ontology, Kyoto Encyclopedia of Genes and Genomes (KEGG) pathway enrichment, protein-protein interaction (PPI) networks, and hub protein selection. Mammospheres were cultured under conditioned media. The cytotoxic effects of EES were then measured by direct counting and based on the mammosphere-forming potential (MFP). Bioinformatic analysis disclosed PIK3CA and TP53 as PTTGs in BCSCs and HER2-BCSCs, respectively. In addition, the KEGG pathway analyses also demonstrated that PTTGs could regulate the ERBB pathway. EES thus demonstrated cytotoxicity and inhibited the formation of mammospheres. Collectively, EES exhibited excellent potential for further development as an inhibitor of cancer stem cells in breast cancer.
Analyzing the biosynthetic potential of antimicrobial-producing actinobacteria originating from Indonesia Anissa Utami; Pamela Apriliana; Yudi Kusnadi; Dewi S. Zilda; Zidny Ilmiah; Puspita Lisdiyanti; Siswa Setyahadi; Agustinus R. Uria
Indonesian Journal of Biotechnology Vol 26, No 3 (2021)
Publisher : Universitas Gadjah Mada

Show Abstract | Download Original | Original Source | Check in Google Scholar | DOI: 10.22146/ijbiotech.65239

Abstract

We investigated the biosynthetic potential of soil-associated actinobacteria originating from Indonesia, identified as Streptomyces luridus and as Streptomyces luteosporeus. Antimicrobial assays indicated inhibitory activity by both strains against the pathogen Pseudomonas aeruginosa, with S. luteosporeus particularly inhibiting the growth of Bacillus subtilis. PCR-amplification, cloning, and sequencing of ketosynthase (KS) domains of type I modular polyketide (PKS-I) and adenylation (AD) domains of non-ribosomal peptide synthetase (NRPS) indicated the diversity of KS and AD domains derived from both Indonesian Streptomyces. Further phylogenetic analysis showed that KS domains from the subclass cis-AT PKS can be classified as being a part of a loading module or an extension module, along with their predicted substrate specificity. The results suggest that both strains are a potential source of novel biosynthetic pathways. This genetic analysis approach can be used as a fast guide to obtain insight into natural product biosynthetic gene diversity in microorganisms.
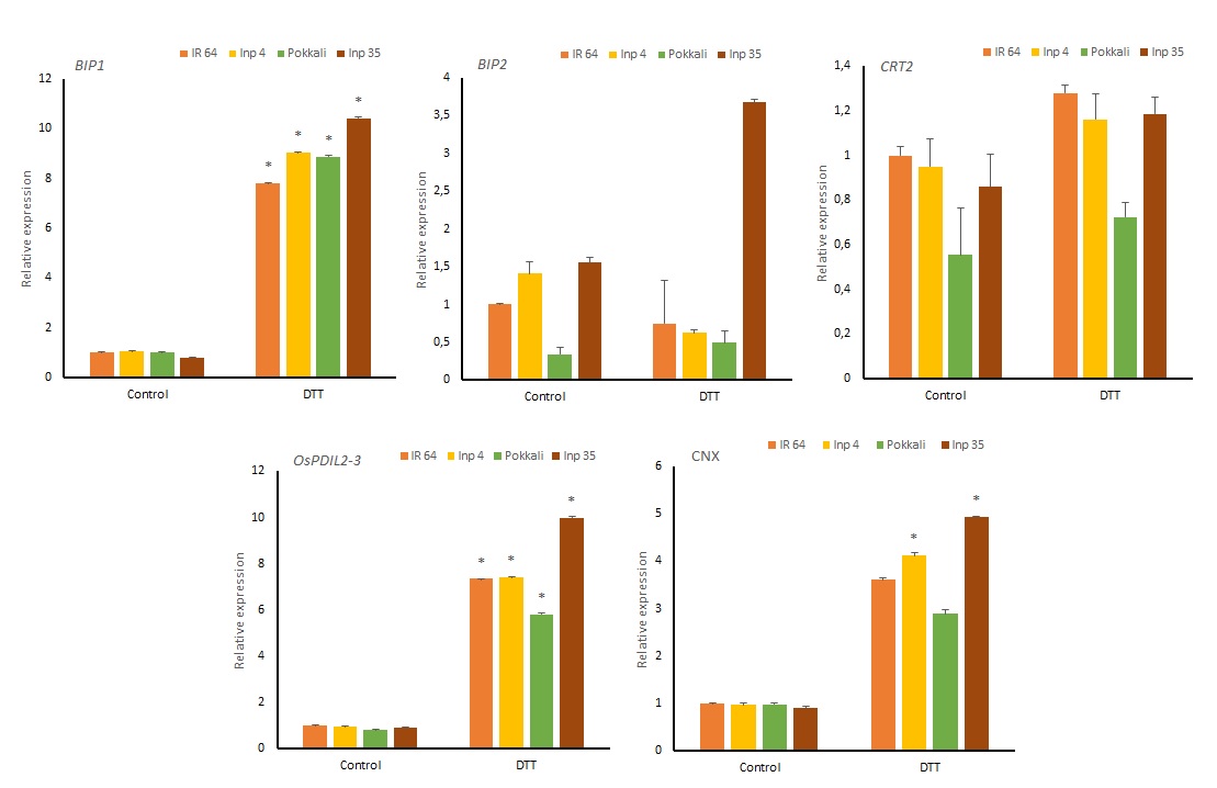
Unfolded protein response in rice (Oryza sativa L.) varieties with different level of salt stress tolerance Galang Rizki Ramadhan; Sholeh Avivi; Bambang Sugiharto; Wahyu Indra Duwi Fanata
Indonesian Journal of Biotechnology Vol 26, No 3 (2021)
Publisher : Universitas Gadjah Mada

Show Abstract | Download Original | Original Source | Check in Google Scholar | DOI: 10.22146/ijbiotech.67039

Abstract

Plants activate the unfolded protein response as part of cellular adaptation, thereby maintaining the endoplasmic reticulum homeostasis during external stresses exposure. In this study, we examined the relationship between the degree of salt tolerance and unfolded protein response-related gene expression in India salt-tolerant Pokkali and INPARI 35 varieties compared to the Indica salt-sensitive counterpart IR64 and INPARI 4 varieties.  Our result showed that the salt tolerance of Pokkali and INPARI 35 had been confirmed by their higher survival rate, higher chlorophyll content, lower electrolyte leakage, and lower H2O2 and malondialdehyde content under salt stress conditions. Furthermore, the expression of unfolded protein response genes was highest in INPARI 35, whereas IR64 and INPARI 4 exhibited low gene induction during endoplasmic reticulum stress conditions. Among the four examined varieties the salt tolerant Pokkali surprisingly showed the lowest induction of all examined unfolded protein response-related genes. These results indicated the possibility that unfolded protein response supports the rice plant for adapting to the saline environment.
Isolation and characterization of α ‐amylase encoding gene in Bacillus amyloliquefaciens PAS Achmad Rodiansyah; Sitoresmi Prabaningtyas; Mastika Marisahani Ulfah; Ainul Fitria Mahmuda; Uun Rohmawati
Indonesian Journal of Biotechnology Vol 26, No 4 (2021)
Publisher : Universitas Gadjah Mada

Show Abstract | Download Original | Original Source | Check in Google Scholar | DOI: 10.22146/ijbiotech.61425

Abstract

Amylolytic bacteria are a source of amylase, which is an essential enzyme to support microalgae growth in the bioreactor for microalgae culture. In a previous study, the highest bacterial isolate to hydrolyze amylum (namely PAS) was successfully isolated from Ranu Pani, Indonesia, and it was identified as Bacillus amyloliquefaciens. That bacterial isolate (B. amyloliquefaciens PAS) also has been proven to accelerate Chlorella vulgaris growth in the mini bioreactor. This study aims to detect, isolate, and characterize the PAS’s α‐amylase encoding gene. This study was conducted with DNA extraction, amplification of α‐amylase gene with polymerase chain reaction (PCR) method with the specific primers, DNA sequencing, phylogenetic tree construction, and protein modeling. The result showed that α‐amylase was successfully detected in PAS bacterial isolate. The α‐amylase DNA fragment was obtained 1,468 bp and that translated sequence has an identity of about 98.3% compared to the B. amylolyquefaciens α‐amylase 3BH4 in the Protein Data Bank (PDB). The predicted 3D protein model of the PAS’s α‐amylase encoding gene has amino acid variations that predicted affect the protein’s structure in the small region. This research will be useful for further research to produce recombinant α‐amylase.

Filter by Year

2005 2025